⭐ 【高校数学①】多項式の展開をゼロから理解する|中学→高校へのつまずきが消える入門ガイド
高校数学に入って最初のほうで出てくる「多項式の展開」。
ここで急に「高校数学、難しい……」と感じる人は少なくありません。
でも、展開はまったく新しい別世界の話ではありません。中学までに学んだ文字式、かっこ、分配法則の考え方が、そのまま土台になります。
この記事では、展開公式をただ暗記するのではなく、「なぜそうなるのか」「どこを見ればいいのか」まで、図や例を使いながらやさしく整理していきます。
- 先に結論|展開は「分配法則で広げる」こと
- この高校数学シリーズの地図
- 高校数学は急に別世界になるわけではない
- この記事のゴール|展開公式を“使える形”にする
- 中学数学と高校数学の違い|何が少し増えるのか
- 高校数学で大事になるのは「式を見る目」
- 展開の前に思い出したい3つの基礎
- 多項式とは何か|文字式からつなげよう
- 展開とは何か|かけ算の形を足し算の形に広げる
- 展開は何のために使うの?
- 図形で理解する (a+b)²|面積から公式を見る
- (a-b)² と (a+b)(a-b) も図で確認しよう
- 最初に見る展開公式はこの4つ
- 展開公式はこの順番で覚えよう
- 展開公式の見分け方|まず形を見よう
- よくあるミス|(a+b)² は a²+b² ではない
- 例題で確認|公式を使って展開してみよう
- 展開でよくあるつまずき
- 分からなくなったときの戻り道
- 分かったつもりチェック|ここが言えればOK
- 今日できる最小行動|(a+b)² を1回だけ図で説明してみよう
- ミニ辞書|展開で出てくる言葉をやさしく確認
- 次に読むなら|展開から因数分解へ進もう
- 訂正と追記
- 参考文献・出典
先に結論|展開は「分配法則で広げる」こと
多項式の展開とは、かけ算の形になっている式を、足し算・引き算の形に広げることです。
たとえば、(x+2)(x+3) は、分配法則を使うと x²+5x+6 に展開できます。
つまり、展開は「公式を暗記して当てはめるだけの作業」ではなく、かっこの中にかけ算を配って、式を広げる操作なのです。
もこあい先生より
まずは「展開=分配法則で広げること」と分かれば大丈夫です。最初から全部を完璧に覚えようとしなくてOKですよ。
この高校数学シリーズの地図
このシリーズでは、高校数学の最初につまずきやすい「式の見方」を、順番に整理していきます。
- 多項式の展開:かけ算の形を広げる ← 今回
- 因数分解:広がった式を、かけ算の形に戻す
- 2次方程式:因数分解・平方完成・解の公式を使い分ける
- 2次関数:式・グラフ・頂点の関係を見る
まずはこの記事で、「式を広げる」とはどういうことかを、しっかりつかんでいきましょう。
高校数学は急に別世界になるわけではない
高校数学に入ると、文字が増えたり、式が長くなったりして、急に難しくなったように感じることがあります。
でも、展開は急にゼロから始まる新しい話ではありません。
中学までに学んだ、次の考え方がそのままつながっています。
- かっこは「ひとまとまり」として見る
- 分配法則で、かっこの中にかけ算を配る
- 文字を使って数量や関係を表す
つまり、展開は中学数学の延長線上にある高校数学と考えると、かなり入りやすくなります。
この記事のゴール|展開公式を“使える形”にする
この記事のゴールは、展開公式をただ丸暗記することではありません。
- 展開とは何かを説明できる
- 分配法則と展開のつながりが分かる
- 基本公式の形を見分けられる
- 簡単な展開問題を自分で解ける
- 次の因数分解へつながる感覚が持てる
この5つができれば、高校数学の最初の一歩としては十分です。
✅ クリックして開く:この記事についてのご注意
この記事は、高校数学「多項式の展開」を、初めて学ぶ人にも分かりやすいように整理したものです。
教科書や学校の授業では、説明の順番や使う表現が少し異なる場合があります。定期テスト前は、学校の教科書・問題集・授業プリントもあわせて確認してください。
中学数学と高校数学の違い|何が少し増えるのか
| 中学数学 | 高校数学 |
|---|---|
| 2(x+3) のように、数をかっこに配る | (x+2)(x+3) のように、式どうしをかける |
| 文字式の計算に慣れる | 式の形を見て、公式を使い分ける |
| 計算の手順を覚える | 「どの形か」を見分ける力が大事になる |
高校数学は、中学数学を土台にして「少し複雑な式」を扱うようになったものです。
だからこそ、展開の最初では「式を見る目」を育てることがとても大切になります。
高校数学で大事になるのは「式を見る目」
高校数学では、ただ計算するだけでなく、「この式はどんな形をしているか」を見る力が大切になります。
たとえば、同じ展開でも、見るポイントは少しずつ違います。
- 同じかっこを2回かけている?
- 符号だけが違うかっこが並んでいる?
- かっこの中にある2つの式どうしを配る形?
この「式を見る目」が育つと、展開だけでなく、因数分解や2次方程式にもつながっていきます。
もこあい用語メモ
式を見る目とは、「この式はどんな形か」「どの考え方を使えばよいか」を見分ける力のことです。
展開の前に思い出したい3つの基礎
① かっこは「ひとまとまり」
(x+2) のようなかっこは、バラバラではなく「ひとまとまり」として扱います。
展開では、このひとまとまり全体に対して、かけ算を配っていきます。
② 分配法則は「中身に配る」
たとえば、2(x+3) は、2をかっこの中のそれぞれにかけて、2x+6 になります。
これが分配法則です。展開は、この考え方を高校数学の式どうしにも広げたものです。
③ 面積図は「式を見える形にする」
展開公式は、面積図で見ると意味がつかみやすくなります。
特に (a+b)² や (a-b)² は、図にすると「なぜ真ん中に 2ab が出るのか」が見えやすくなります。
多項式とは何か|文字式からつなげよう
多項式とは、単項式を足したり引いたりしてできた式のことです。
たとえば、次のような式は多項式です。
x+22x²+3x-1a²+2ab+b²
高校数学では、この多項式どうしをかけたり、整理したりする場面が増えます。
その最初の入口になるのが、展開です。
展開とは何か|かけ算の形を足し算の形に広げる
展開とは、かけ算の形になっている式を、足し算・引き算の形に広げることです。
たとえば、
(x+2)(x+3)
という式は、1つ目のかっこの中のそれぞれを、2つ目のかっこの中のそれぞれにかけていくことで、
x²+3x+2x+6
となり、さらに同類項をまとめると、
x²+5x+6
になります。
これが展開です。
展開は何のために使うの?
「そもそも、どうして展開するの?」と思う人もいるかもしれません。
展開は、かけ算の形になっている式を、計算しやすい形・整理しやすい形に直すために使います。
たとえば、展開は次のような場面で役立ちます。
- 式を整理するとき
- 方程式を解く準備をするとき
- 関数の式を見やすくするとき
- 因数分解と逆向きの関係を理解するとき
このあと学ぶ因数分解は、展開の逆です。だから、展開を理解しておくと、次の単元にもつながります。
図形で理解する (a+b)²|面積から公式を見る
(a+b)² は、(a+b)(a+b) と同じ意味です。
これを、1辺が a+b の正方形の面積として考えてみましょう。
縦も横も a+b なので、図を4つに分けると、次の面積が見えてきます。
a²ababb²
つまり、全部合わせると、
(a+b)² = a² + 2ab + b²
になります。
ここで大事なのは、真ん中の 2ab です。
ab が2つあるので、2ab になるのです。
恵子のメモ帳
(a+b)² を見たら、「同じかっこを2回かけている」と考えるのがコツです。

(a-b)² と (a+b)(a-b) も図で確認しよう
(a-b)² の場合
(a-b)² は、(a-b)(a-b) のことです。
展開すると、
(a-b)² = a² - 2ab + b²
になります。
ここでも、真ん中の項が大切です。-ab が2つ出るので、-2ab になります。
※ここでの「-ab」は、面積そのものがマイナスという意味ではなく、式の操作として「その部分を引く」と考えるための表現です。
(a+b)(a-b) の場合
これは、符号だけが違う2つのかっこをかける形です。
実際に広げると、
(a+b)(a-b)=a²-ab+ab-b²
となり、真ん中の -ab と +ab が打ち消し合って、
(a-b)² = a² - 2ab + b²
になります。
ここでも、真ん中の項が大切です。-ab が2つ出るので、-2ab になります。
※ここでの「-ab」は、面積そのものがマイナスという意味ではなく、式の操作として「その部分を引く」と考えるための表現です。
(a+b)(a-b) の場合

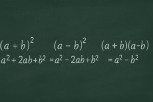
最初に見る展開公式はこの4つ
展開公式はたくさんあるように見えますが、最初に大切なのは次の4つです。
| 形 | 展開後 | ポイント |
|---|---|---|
(a+b)² |
a²+2ab+b² |
同じかっこを2回かける |
(a-b)² |
a²-2ab+b² |
真ん中がマイナスになる |
(a+b)(a-b) |
a²-b² |
真ん中の項が消える |
(x+a)(x+b) |
x²+(a+b)x+ab |
真ん中は足し算、最後はかけ算 |
最初から全部を完璧に覚える必要はありません。
まずは、「分配法則で広げると、よく出る形がある」とつかめればOKです。
展開公式はこの順番で覚えよう
- まずは分配法則:
a(b+c)=ab+ac - 次に2乗の公式:
(a+b)²、(a-b)² - 符号違いの公式:
(a+b)(a-b) - 最後に
(x+a)(x+b)型
この順番なら、意味をつかみながら進めやすくなります。
展開公式の見分け方|まず形を見よう
| 式の形 | 使う公式 | 見るポイント |
|---|---|---|
(a+b)² |
a²+2ab+b² |
同じかっこを2回かけている |
(a-b)² |
a²-2ab+b² |
同じかっこで、間がマイナス |
(a+b)(a-b) |
a²-b² |
同じ2つの項で、符号だけが違う |
(x+a)(x+b) |
x²+(a+b)x+ab |
真ん中は足し算、最後はかけ算 |
高校数学では、計算力だけでなく、「どの形かを見る力」が大事になります。
(x+a)(x+b) 型では、真ん中の x の係数は a+b、最後の定数項は ab になります。
たとえば、(x+2)(x+3) なら、真ん中の係数は 2+3=5、最後の定数項は 2×3=6 なので、x²+5x+6 になります。
高校数学では、計算力だけでなく、「どの形かを見る力」が大事になります。

よくあるミス|(a+b)² は a²+b² ではない
展開でとても多いミスが、
(a+b)² = a²+b²
としてしまうことです。
でも、(a+b)² は、(a+b)(a+b) のことです。
だから、実際には、
(a+b)(a+b)=a²+ab+ab+b²=a²+2ab+b²
となります。
真ん中の 2ab を忘れないようにしましょう。
悪もこあい先生: 2乗だからって、両方を2乗して終わりにすると危ないよ。真ん中の項を忘れたら、展開の大事な部分が消えてしまう。
例題で確認|公式を使って展開してみよう
例題1|分配法則で広げる基本
(x+2)(x+5) を展開してみましょう。
(x+2)(x+5)=x²+5x+2x+10=x²+7x+10
例題2|2乗の公式
(a+3)² を展開すると、
(a+3)² = a²+2・a・3+3² = a²+6a+9
例題3|符号に注意する形
(x-4)² を展開すると、
(x-4)² = x²-8x+16
例題4|真ん中が消える形
(y+2)(y-2) を展開すると、
(y+2)(y-2)=y²-4
例題で大切なのは、答えだけでなく、「なぜその公式を選んだか」を言えることです。
恵子のメモ帳
公式は「覚える」だけでなく、「この式はこの形だからこの公式」と言えるようになると強いです。
展開でよくあるつまずき
- かっこの外の数や文字を、片方にしかかけない
(a+b)²をa²+b²にしてしまう- 真ん中の
2abを忘れる - マイナスの符号を見落とす
- どの公式を使う形なのか分からなくなる
これらは、「数学が苦手だから」起きるのではなく、展開の見方に慣れていないと起きやすいミスです。
だからこそ、分からなくなったら、意味・形・公式の見分け方に戻ることが大切です。
分からなくなったときの戻り道
| 止まった場所 | 戻るところ |
|---|---|
| かっこの意味が分からない | 「展開の前に思い出したい3つの基礎」へ戻る |
| 分配法則が分からない | 「展開とは何か」へ戻る |
(a+b)² の意味が分からない |
「図形で理解する (a+b)²」へ戻る |
| どの公式を使うか迷う | 「展開公式の見分け方」へ戻る |
| 符号ミスが多い | 「よくあるミス」「例題」へ戻る |
分からなくなったときに戻る場所が分かっていると、勉強はかなり進めやすくなります。

分かったつもりチェック|ここが言えればOK
- 展開とは「かけ算の形を広げること」だと説明できる
- 分配法則と展開のつながりが分かる
(a+b)²の真ん中に2abが出る理由が分かる(a+b)(a-b)で真ん中の項が消える理由が分かる- 展開と因数分解が逆の関係だと分かる
全部を完璧に説明できなくても大丈夫です。まずは1つでも「前より言える」が増えていれば前進です。
今日できる最小行動|(a+b)² を1回だけ図で説明してみよう
この記事を読んだあと、いきなり全部の公式を覚えようとしなくて大丈夫です。
まずは、次の1つだけやってみましょう。
- 紙に正方形を1つ描く
- 縦と横を
a+bに分ける a²、ab、ab、b²の4つを書き込む- なぜ
a²+2ab+b²になるかを、自分の言葉で説明してみる
これができれば、展開公式は「暗記のかたまり」ではなく、「意味のある形」として見えてきます。
もこあい先生より
数学は、1回で全部分かろうとしなくて大丈夫です。まずは1つの公式を「図で説明できる」ところまで持っていきましょう。
ミニ辞書|展開で出てくる言葉をやさしく確認
- 文字式
- 数字の代わりに文字を使って表した式のことです。
- 単項式
- 数や文字のかけ算だけでできている、ひとまとまりの式です。たとえば
3xや-2abなどです。 - 多項式
- 単項式を足したり引いたりしてできた式です。たとえば
x+2やx²+5x+6などです。 - 項
- 足し算・引き算で区切られた式の1つ1つの部分です。たとえば
x²+5x+6なら、x²、5x、6が項です。 - 係数
- 文字の前にある数字のことです。たとえば
5xの係数は 5 です。 - 分配法則
- かっこの外の数や文字を、かっこの中のそれぞれにかける考え方です。
- 展開
- かけ算の形になっている式を、足し算・引き算の形に広げることです。
- 公式
- よく出る計算を、すばやく処理するためにまとめた形です。
- 因数分解
- 展開の逆で、広がった式を、かけ算の形に戻すことです。
次に読むなら|展開から因数分解へ進もう
展開は、かけ算の形を広げる操作でした。
次に学ぶ因数分解は、その逆で、広がった式をかけ算の形に戻す操作です。
つまり、展開と因数分解はセットで理解するとかなり強くなります。
数学は、1つの単元だけで終わるものではありません。つながりで見ると、ずっと理解しやすくなります。
もこあい先生より:「今日の“なんで?”を大切にしよう。正解より、考えた道のりが宝もの。」
訂正と追記
この記事では、高校数学の「多項式の展開」を、できるだけやさしく整理しています。
ただし、教科書会社や学校の方針によって、説明の順番や用語の扱いが少し違う場合があります。
内容に誤りや分かりにくい表現が見つかった場合は、確認のうえ訂正・追記します。
参考文献・出典
この記事では、高校数学・中学校数学の学習内容を確認するために、以下の資料を参考にしています。
※以下の資料は、記事内容を支える参考情報です。本文では、学習者向けに表現をかみくだいています。
- 文部科学省『高等学校学習指導要領(平成30年告示)解説 数学編 理数編』高校数学における「数と式」、数学的な見方・考え方に関する内容を参照。
- 文部科学省『中学校学習指導要領(平成29年告示)解説 数学編』中学校数学における文字式、分配法則、式の計算の基礎を参照。
- 学校で使用している教科書・問題集・授業プリント定期テストや学校進度との対応確認用。

